Bens Inventariados 2023

Bens Inventariados Atualizados 2024

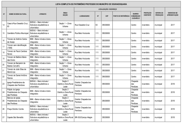
Lista Inventario Site.png

LISTAGEM COMPLETA PATRIMONIO PROTEGIDO DOURADOQUARA